YouTube Excerpt: Add random variables find normal probability.

Information Profile Overview

  1. Stat 3000 Problem 5 2 - Latest Information & Updates 2026 Information & Biography
  2. Salary & Income Sources
  3. Career Highlights & Achievements
  4. Assets, Properties & Investments
  5. Information Outlook & Future Earnings

Stat 3000 Problem 5 2 - Latest Information & Updates 2026 Information & Biography

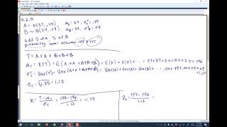
Stat 3000 problem 5.2.5 Details
Looking for information about Stat 3000 Problem 5 2 - Latest Information & Updates 2026? We've researched comprehensive data, latest updates, and detailed insights about Stat 3000 Problem 5 2 - Latest Information & Updates 2026. Explore everything you need to know about this topic.

Details: $53M - $90M

Salary & Income Sources

Stat 3000 problem 5.2.1a Details
Explore the primary sources for Stat 3000 Problem 5 2 - Latest Information & Updates 2026. From highlights to returns, find out how they built their profile over the years.

Career Highlights & Achievements

STAT 3000 problem 5.2.17 Details
Stay updated on Stat 3000 Problem 5 2 - Latest Information & Updates 2026's latest milestones. Whether it's award-winning performances or contributions, we track the accomplishments that shaped their success.

Celebrity Stat 3000: Lecture 5.1 and 5.2 Extra Problems Profile
Stat 3000: Lecture 5.1 and 5.2 Extra Problems
Stat 3000 Problem 5.1.10 basic probabilities Profile
Stat 3000 Problem 5.1.10 basic probabilities
Celebrity Stat 3000: Lecture Review for Exam 2 Wealth
Stat 3000: Lecture Review for Exam 2
STAT 3000 Problem 5.1.4g Net Worth
STAT 3000 Problem 5.1.4g
Celebrity Stat 3000 Problem 5.1.3f know probability find x Wealth
Stat 3000 Problem 5.1.3f know probability find x
Celebrity This Simple Problem Took 358 Years to Solve Profile
This Simple Problem Took 358 Years to Solve
Famous 5-2 Work Together Net Worth
5-2 Work Together
Hypothesis Testing Problems - Z Test & T Statistics - One & Two Tailed Tests   2 Profile
Hypothesis Testing Problems - Z Test & T Statistics - One & Two Tailed Tests 2
Famous Adding Additional Control Wires With Fast-Stat Net Worth
Adding Additional Control Wires With Fast-Stat

Assets, Properties & Investments

This section covers known assets, real estate holdings, luxury vehicles, and investment portfolios. Data is compiled from public records, financial disclosures, and verified media reports.

Last Updated: April 5, 2026

Information Outlook & Future Earnings

Stat 3000 Problem 5.1.2 h Details
For 2026, Stat 3000 Problem 5 2 - Latest Information & Updates 2026 remains one of the most talked-about topic profiles. Check back for the latest updates.

Disclaimer: Disclaimer: Information provided here is based on publicly available data, media reports, and online sources. Actual details may vary.