Web Reference: To obtain an individual ConcreteFunction, use the PolymorphicFunction.get_concrete_function method. It can be called with the same arguments as func and returns a tf.types.experimental.ConcreteFunction. ConcreteFunction s are backed by a single tf.Graph: Jul 23, 2025 · TensorFlow is a machine learning framework that has offered flexibility, scalability and performance for deep learning tasks. tf.function helps to optimize and accelerate computation by leveraging graph-based execution. In the article, we will cover the concept of tf.function in TensorFlow. Discover how to fix issues with `tf.function` and class variables in TensorFlow to ensure that values are correctly stored and updated.
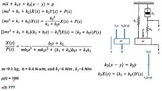
YouTube Excerpt: Control Systems:
Information Profile Overview
Solving The Tf Function Problem - Latest Information & Updates 2026 Information & Biography

Details: $22M - $38M
Salary & Income Sources

Career Highlights & Achievements

Assets, Properties & Investments
This section covers known assets, real estate holdings, luxury vehicles, and investment portfolios. Data is compiled from public records, financial disclosures, and verified media reports.
Last Updated: April 3, 2026
Information Outlook & Future Earnings

Disclaimer: Disclaimer: Information provided here is based on publicly available data, media reports, and online sources. Actual details may vary.








